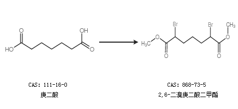
基本信息:
中文名称 2,6-二溴庚二酸二甲酯
中文别名 二甲基 2,6-二溴庚烷二酸酯;
英文名称 DIMETHYL 2,6-DIBROMOHEPTANEDIOATE
英文别名 dimethyl-2,6-dibromoheptanedioate;dimethyl 2,6-dibromopimelate;dimethyl 2,6-dibromoheptanoate;dimethyl 2,6-dibromoheptadioate;2,6-Dibromoheptanedioic acid dimethyl ester;
CAS号 868-73-5
合成路线:
1.通过庚二酸合成2,6-二溴庚二酸二甲酯

2.通过甲醇和庚二酸合成2,6-二溴庚二酸二甲酯

合成路线仅供参考