你好,欢迎来到中华试剂网 购试剂 买耗材! [请登录][注册有惊喜]

货号快速下单 | 签到送积分   | 会员中心 | 客服热线:400-021-2765

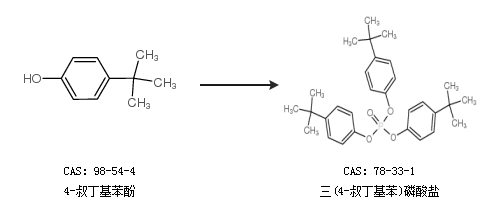
三(4-叔丁基苯)磷酸盐的合成路线有哪些?

提问时间:2021/4/22 12:49:24
三(4-叔丁基苯)磷酸盐有什么方法可以合成?

1条回复:

匿名
2021/4/22 12:49:24
基本信息:
中文名称 三(4-叔丁基苯)磷酸盐
中文别名 磷酸三(对-叔丁基苯)酯(TBPP);磷酸三(对-叔丁基苯)酯;
英文名称 Tris(4-Tert-Butylphenyl) Phosphate
英文别名 TRI-(P-TERT-BUTYLPHENYL) PHOSPHATE;
CAS号 78-33-1

合成路线:
1.通过4-叔丁基苯酚合成三(4-叔丁基苯)磷酸盐


合成路线仅供参考
回复