你好,欢迎来到中华试剂网 购试剂 买耗材! [请登录][注册有惊喜]

货号快速下单 | 签到送积分   | 会员中心 | 客服热线:400-021-2765

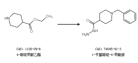
1-苄基哌啶-4-甲酰肼的合成路线有哪些?

提问时间:2021/4/22 12:49:24
1-苄基哌啶-4-甲酰肼有什么方法可以合成?

1条回复:

匿名
2021/4/22 12:49:24
基本信息:
中文名称 1-苄基哌啶-4-甲酰肼
英文名称 1-benzylpiperidine-4-carbohydrazide
英文别名 1-benzyl-piperidine-4-carboxylic acid hydrazide;
CAS号 74045-91-3

合成路线:
1.通过1-苄基-4-哌啶甲酸乙酯合成1-苄基哌啶-4-甲酰肼,收率约81%;


2.通过4-哌啶甲酸乙酯合成1-苄基哌啶-4-甲酰肼


合成路线仅供参考
回复