你好,欢迎来到中华试剂网 购试剂 买耗材! [请登录][注册有惊喜]

货号快速下单 | 签到送积分   | 会员中心 | 客服热线:400-021-2765

2-溴-1-碘-4-硝基苯的合成路线有哪些?

提问时间:2021/4/22 12:49:23
2-溴-1-碘-4-硝基苯有什么方法可以合成?

1条回复:

匿名
2021/4/22 12:49:23
基本信息:
中文名称 2-溴-1-碘-4-硝基苯
中文别名 3-溴-4-碘硝基苯;
英文名称 2-Bromo-1-Iodo-4-Nitrobenzene
英文别名 2-bromo-1-iodo-4-nitrobenzene;
CAS号 7149-14-6

合成路线:
1.通过4-硝基碘苯合成2-溴-1-碘-4-硝基苯,收率约76%;


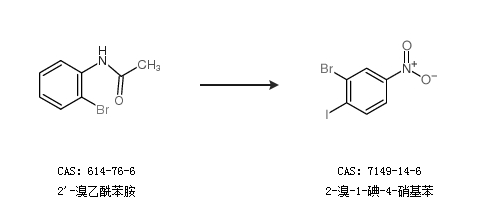
2.通过2''-溴乙酰苯胺合成2-溴-1-碘-4-硝基苯


合成路线仅供参考
回复