你好,欢迎来到中华试剂网 购试剂 买耗材! [请登录][注册有惊喜]

货号快速下单 | 签到送积分   | 会员中心 | 客服热线:400-021-2765

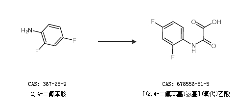
[(2,4-二氟苯基)氨基](氧代)乙酸的合成路线有哪些?

提问时间:2021/4/22 12:49:23
[(2,4-二氟苯基)氨基](氧代)乙酸有什么方法可以合成?

1条回复:

匿名
2021/4/22 12:49:23
基本信息:
中文名称 [(2,4-二氟苯基)氨基](氧代)乙酸
英文名称 2-(2,4-difluoroanilino)-2-oxoacetic acid
英文别名 [(2,4-difluorophenyl)amino](oxo)acetic acid;
CAS号 678556-81-5

合成路线:
1.通过2,4-二氟苯胺合成[(2,4-二氟苯基)氨基](氧代)乙酸


2.通过2,4-二氟苯胺合成[(2,4-二氟苯基)氨基](氧代)乙酸


合成路线仅供参考
回复