你好,欢迎来到中华试剂网 购试剂 买耗材! [请登录][注册有惊喜]

货号快速下单 | 签到送积分   | 会员中心 | 客服热线:400-021-2765

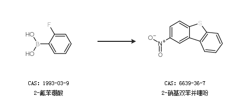
2-硝基双苯并噻吩的合成路线有哪些?

提问时间:2021/4/22 12:49:23
2-硝基双苯并噻吩有什么方法可以合成?

1条回复:

匿名
2021/4/22 12:49:23
基本信息:
中文名称 2-硝基双苯并噻吩
中文别名 2-硝基二苯并[B,D]噻吩;2-硝基二苯并噻吩;
英文名称 2-Nitrodibenzothiophene
英文别名 2-NITRODIBENZOTHIOPHENE;
CAS号 6639-36-7

合成路线:
1.通过2-碘-4-硝基苯甲醚合成2-硝基双苯并噻吩


2.通过2-氟苯硼酸合成2-硝基双苯并噻吩


合成路线仅供参考
回复