你好,欢迎来到中华试剂网 购试剂 买耗材! [请登录][注册有惊喜]

货号快速下单 | 签到送积分   | 会员中心 | 客服热线:400-021-2765

4-溴-4''-硝基联苯的合成路线有哪些?

提问时间:2021/4/22 12:49:22
4-溴-4''-硝基联苯有什么方法可以合成?

1条回复:

匿名
2021/4/22 12:49:22
基本信息:
中文名称 4-溴-4''-硝基联苯
中文别名 4-溴-4’-硝基联苯;
英文名称 4-Bromo-4''-nitro-1,1''-biphenyl
英文别名 1-(4-bromophenyl)-4-nitrobenzene;
CAS号 6242-98-4

合成路线:
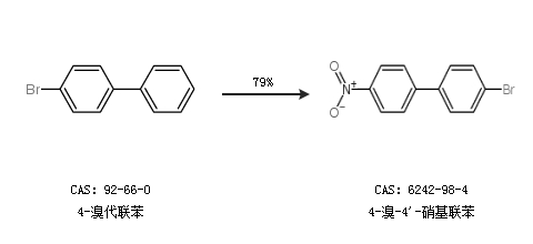
1.通过4-溴代联苯合成4-溴-4''-硝基联苯,收率约79%;


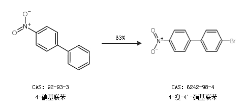
2.通过4-硝基联苯合成4-溴-4''-硝基联苯,收率约63%;


合成路线仅供参考
回复