基本信息:
中文名称 胍 乙酸盐
中文别名 乙酸胍;
英文名称 acetic acid,guanidine
英文别名 Guanidinium acetate;Guanidine acetate salt;Guanidin,essigsaures Guanidin;Guanidine acetate;Guanidinacetat;Guanidiniumacetat;Guanidine,monoacetate;
CAS号 593-87-3
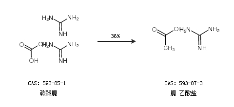
合成路线:
1.通过碳酸胍合成胍 乙酸盐,收率约28%;

2.通过碳酸胍合成胍 乙酸盐,收率约36%;

合成路线仅供参考