你好,欢迎来到中华试剂网 购试剂 买耗材! [请登录][注册有惊喜]

货号快速下单 | 签到送积分   | 会员中心 | 客服热线:400-021-2765

2-(4-氟苯基)呋喃的合成路线有哪些?

提问时间:2021/4/22 12:49:22
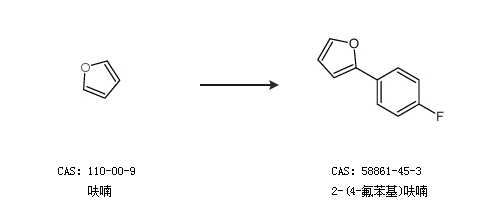
2-(4-氟苯基)呋喃有什么方法可以合成?

1条回复:

匿名
2021/4/22 12:49:22
基本信息:
中文名称 2-(4-氟苯基)呋喃
英文名称 2-(4-Fluorophenyl)fur
英文别名 2-p-Fluorphenylfuran;
CAS号 58861-45-3

合成路线:
1.通过2-呋喃硼酸和对溴氟苯合成2-(4-氟苯基)呋喃,收率约90%;


2.通过呋喃合成2-(4-氟苯基)呋喃


合成路线仅供参考
回复