你好,欢迎来到中华试剂网 购试剂 买耗材! [请登录][注册有惊喜]

货号快速下单 | 签到送积分   | 会员中心 | 客服热线:400-021-2765

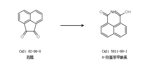
8-羧基萘甲酰氨的合成路线有哪些?

提问时间:2021/4/22 12:49:22
8-羧基萘甲酰氨有什么方法可以合成?

1条回复:

匿名
2021/4/22 12:49:22
基本信息:
中文名称 8-羧基萘甲酰氨
中文别名 8-(氢基羰基)1-萘酸;
英文名称 8-carbamoylnaphthalene-1-carboxylic acid
英文别名 8-carbamoylnaphthalenecarboxylic acid;Naphthalamid;
CAS号 5811-88-1

合成路线:
1.通过苊醌合成8-羧基萘甲酰氨


合成路线仅供参考
回复