基本信息:
中文名称 5-溴-3-羟基异吲哚啉-1-酮
英文名称 5-bromo-3-hydroxy-2,3-dihydroisoindol-1-one
英文别名 5-bromo-3-hydroxy-2,3-dihydro-isoindol-1-one;5-bromo-3-hydroxyisoindoline-1-one;5-BROMO-3-HYDROXYISOINDOLIN-1-ONE;
CAS号 573675-39-5
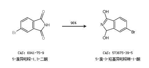
合成路线:
1.通过5-溴异吲哚-1,3-二酮合成5-溴-3-羟基异吲哚啉-1-酮,收率约96%;

合成路线仅供参考