你好,欢迎来到中华试剂网 购试剂 买耗材! [请登录][注册有惊喜]

货号快速下单 | 签到送积分   | 会员中心 | 客服热线:400-021-2765

6-溴-2-氯喹喔啉的合成路线有哪些?

提问时间:2021/4/22 12:49:22
6-溴-2-氯喹喔啉有什么方法可以合成?

1条回复:

匿名
2021/4/22 12:49:22
基本信息:
中文名称 6-溴-2-氯喹喔啉
中文别名 2-氯-6-溴喹喔啉;6-溴-2-氯喹恶啉;
英文名称 6-Bromo-2-chloroquinoxaline
英文别名 6-bromo-2-chloroquinoxaline;
CAS号 55687-02-0

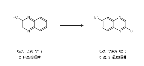
合成路线:
1.通过6-溴喹喔啉-2(1H)-酮合成6-溴-2-氯喹喔啉,收率约84%;


2.通过2-羟基喹喔啉合成6-溴-2-氯喹喔啉


合成路线仅供参考
回复