你好,欢迎来到中华试剂网 购试剂 买耗材! [请登录][注册有惊喜]

货号快速下单 | 签到送积分   | 会员中心 | 客服热线:400-021-2765

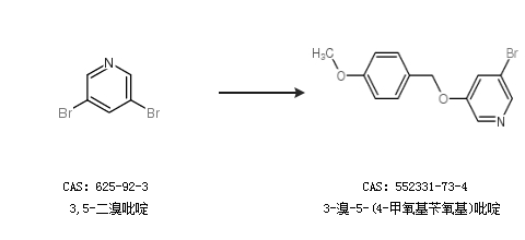
3-溴-5-(4-甲氧基苄氧基)吡啶的合成路线有哪些?

提问时间:2021/4/22 12:49:22
3-溴-5-(4-甲氧基苄氧基)吡啶有什么方法可以合成?

1条回复:

匿名
2021/4/22 12:49:22
基本信息:
中文名称 3-溴-5-(4-甲氧基苄氧基)吡啶
英文名称 3-bromo-5-[(4-methoxyphenyl)methoxy]pyridine
CAS号 552331-73-4

合成路线:
1.通过3-溴-5-羟基吡啶和4-甲氧基氯苄合成3-溴-5-(4-甲氧基苄氧基)吡啶,收率约56%;


2.通过3,5-二溴吡啶合成3-溴-5-(4-甲氧基苄氧基)吡啶


合成路线仅供参考
回复