你好,欢迎来到中华试剂网 购试剂 买耗材! [请登录][注册有惊喜]

货号快速下单 | 签到送积分   | 会员中心 | 客服热线:400-021-2765

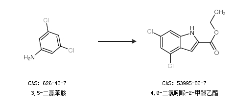
4,6-二氯吲哚-2-甲酸乙酯的合成路线有哪些?

提问时间:2021/4/22 12:49:21
4,6-二氯吲哚-2-甲酸乙酯有什么方法可以合成?

1条回复:

匿名
2021/4/22 12:49:21
基本信息:
中文名称 4,6-二氯吲哚-2-甲酸乙酯
中文别名 乙基 4,6-二氯-1H-吲哚-2-甲酸酯;
英文名称 Ethyl 4,6-dichloro-1H-indole-2-carboxylate
英文别名 ethyl 4,6-dichloro-1H-indole-2-carboxylate;
CAS号 53995-82-7

合成路线:
1.通过3,5-二氯苯胺合成4,6-二氯吲哚-2-甲酸乙酯


2.通过3,5-二氯苯肼盐酸盐合成4,6-二氯吲哚-2-甲酸乙酯


合成路线仅供参考
回复