基本信息:
中文名称 5-羟甲基脱氧尿苷
中文别名 2''-脱氧-5-羟甲基尿甙;5-羟基甲基-2-脱氧尿苷;5-羟甲基尿嘧啶脱氧核苷;
英文名称 5-hydroxymethyl-2''-deoxyuridine
英文别名 5-HMdU HMdUdr;5-HYDROXYMETHYL-2''-DEOXYURIDINE;
CAS号 5116-24-5
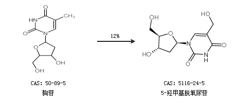
合成路线:
1.通过甲醛和2''-脱氧尿苷合成5-羟甲基脱氧尿苷,收率约91%;

2.通过胸苷合成5-羟甲基脱氧尿苷,收率约12%;

合成路线仅供参考