基本信息:
中文名称 1-羟基-2-丁酮
英文名称 1-hydroxybutan-2-one
英文别名 1-hydroxybutanone;FEMA No. 3173;2-Butanone,1-hydroxy;1-Hydroxy-2-butanone;propionylcarbinol;hydroxymethyl propionaldehyde;hydroxybutanone;2-Oxobutanol;1-hydroxy-2-oxobutane;2-ketobutanol;
CAS号 5077-67-8
合成路线:
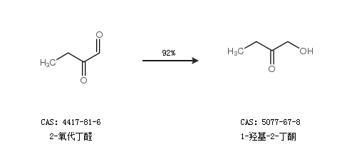
1.通过2-氧代丁醛合成1-羟基-2-丁酮,收率约92%;

2.通过2-丁酮合成1-羟基-2-丁酮,收率约21%;

合成路线仅供参考