基本信息:
中文名称 4,7-二甲基-1-茚酮
中文别名 4,7-二甲基-1-茚满酮;
英文名称 4,7-dimethyl-2,3-dihydroinden-1-one
英文别名 4,7-dimethylindanone;4,7-Dimethyl-1-indanone;1-Oxo-4.7-dimethyl-hydrinden;1-Indanone,4,7-dimethyl;1-Indanone,7-dimethyl;1H-Inden-1-one,2,3-dihydro-4,7-dimethyl;4,7-Dimethyl-2,3-dihydro-1H-inden-1-one;4,7-dimethylindan-1-one;4,7-Dimethyl-indan-1-on;
CAS号 5037-60-5
合成路线:
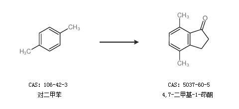
1.通过对二甲苯合成4,7-二甲基-1-茚酮

2.通过对二甲苯和3-氯丙酰氯合成4,7-二甲基-1-茚酮,收率约76%;

合成路线仅供参考