基本信息:
中文名称 γ-胍丁酸
中文别名 4-胍基丁酸;
英文名称 4-guanidinobutanoic acid
英文别名 4-Guanidino-buttersaeure;4-GUANIDINOBUTANOIC ACID;G-GUANIDINOBUTYRIC ACID;4-guanidino-butyric acid;4-Guanidobutyric acid;4-GUANIDINOBUTYRIC ACID;GUANIDINOBUTYRIC ACID;4-Guanidinobutyric acid;
CAS号 463-00-3
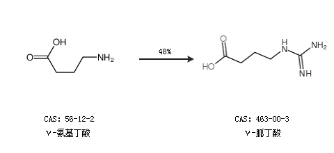
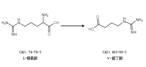
合成路线:
1.通过γ-氨基丁酸合成γ-胍丁酸,收率约48%;

2.通过L-精氨酸合成γ-胍丁酸

合成路线仅供参考