基本信息:
中文名称 Z-天冬氨酸酸酐
中文别名 [(3S)-四氢-2,5-二氧代-3-呋喃基]氨基甲酸苯甲酯;N-Z-L-天冬氨酸酐;Cbz-L-天冬氨酸酐;
英文名称 benzyl N-[(3S)-2,5-dioxooxolan-3-yl]carbamate
英文别名 N-Cbz-L-Aspartic anhydride;carbobenzoxy-L-aspartic acid anhydride;N-benzyloxycarbonyl-L-aspartic anhydride;benzyloxycarbonyl-L-aspartic anhydride;N-carbobenzyloxy-L-aspartic acid anhydride;N-benzyloxycarbonyl-L-aspartic acid anhydride;N-Z-L-aspartic anhydride;N-Carbobenzyloxy-L-aspartic anhydride;
CAS号 4515-23-5
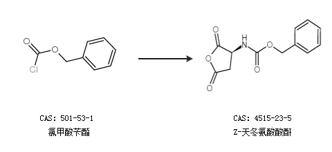
合成路线:
1.通过N-CBZ-L-天冬氨酸合成Z-天冬氨酸酸酐,收率约97%;

2.通过氯甲酸苄酯合成Z-天冬氨酸酸酐

合成路线仅供参考