基本信息:
中文名称 均三苄醇
中文别名 1,3,5-苯三甲醇;1,3,5-苯三甲醇;[3,5-双(羟基甲基)苯基]甲醇;1,3,5-三(羟甲基)苯;
英文名称 1,3,5-Benzenetrimethanol
英文别名 1,3,5-BENZENETRIMETHANOL;1,3,5-Tris(hydroxymethyl)benzene;[3,5-bis(hydroxymethyl)phenyl]methanol;
CAS号 4464-18-0
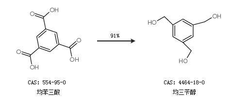
合成路线:
1.通过三甲基1,3,5-苯三羟酸酯合成均三苄醇,收率约99%;

2.通过均苯三酸合成均三苄醇,收率约91%;

合成路线仅供参考