基本信息:
中文名称 4-硝基苯磷酸二钠
中文别名 对硝基苯磷酸二钠盐;对硝基苯磷酸二钠,六水合物;对硝基苯磷酸钠六水合物;4-硝基苯基磷基二钠盐六水合物;5-磷酸硝基苯二钠盐;对硝基苯磷酸二钠;4-硝基苯基磷酸二钠盐六水物;对硝基苯磷酸二钠;4-硝基苯基磷;对硝基苯磷酸二钠,六水合物;4-硝基苯基磷酸二钠六水合物;
英文名称 Disodium 4-nitrophenylphosphate
英文别名 p-Nitrophenyl Phosphate Liquid Substrate System;Sodium 4-nitrophenyl phosphate;4-Nitrophenyl phosphate disodium salt;4-Nitrophenyl phosphate,disodium salt,hexahydrate;4-Nitrophenyl phosphate disodium salt hexahydrate;disodium,(4-nitrophenyl) phosphate;4-Nitrophenylphosphoric Acid Disodium Salt;
CAS号 4264-83-9
合成路线:
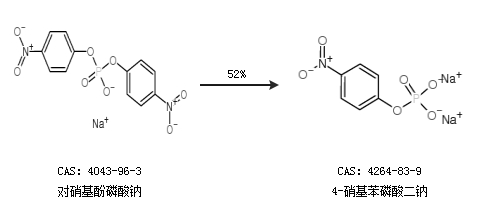
1.通过对硝基酚磷酸钠合成4-硝基苯磷酸二钠,收率约52%;

合成路线仅供参考