基本信息:
中文名称 3-氯-4-(3-三氟甲基-苯氧基)-苯胺
英文名称 3-Chloro-4-[3-(trifluoromethyl)phenoxy]aniline
英文别名 3-chloro-4-(3-trifluoromethyl-phenoxy)-aniline;Novaluron Intermediate;3-chloro-4-[ 1,1,2-trifluoro-2-(trifluoromethoxy)ethoxy] aniline;3-CHLORO-4-[1,1,2-TRIFLUORO-2-(TRIFLUOROMETHOXY)ETHOXY]BENZENAMINE;
CAS号 40718-14-7
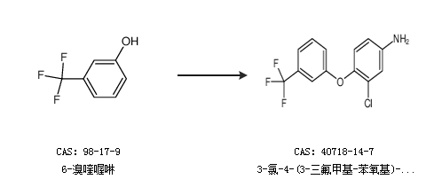
合成路线:
1.通过3-氯-4-氟硝基苯合成3-氯-4-(3-三氟甲基-苯氧基)-苯胺

2.通过6-溴喹喔啉合成3-氯-4-(3-三氟甲基-苯氧基)-苯胺

合成路线仅供参考