基本信息:
中文名称 1-(4-氟苯基)乙胺
中文别名 (±)-1-(4-氟苯基)氨基乙烷;4-氟-α-甲基苄胺;DL-4-氟-Alpha-甲基苄胺;
英文名称 1-(4-Fluorophenyl)ethanamine
英文别名 1-(4-fluorophenyl)ethanamine;DL-4-Fluoro-alpha-methylbenzylamine;4-Fluoro-α-methylbenzylamine;
CAS号 403-40-7
合成路线:
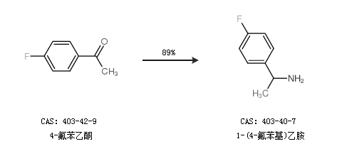
1.通过4-氟苯乙酮合成1-(4-氟苯基)乙胺,收率约89%;

2.通过(S)-(-)-1-(4-氟苯基)乙胺合成1-(4-氟苯基)乙胺,收率约93%;

合成路线仅供参考