你好,欢迎来到中华试剂网 购试剂 买耗材! [请登录][注册有惊喜]

货号快速下单 | 签到送积分   | 会员中心 | 客服热线:400-021-2765

1-溴-3-叔丁基苯的合成路线有哪些?

提问时间:2021/4/22 12:49:20
1-溴-3-叔丁基苯有什么方法可以合成?

1条回复:

匿名
2021/4/22 12:49:20
基本信息:
中文名称 1-溴-3-叔丁基苯
英文名称 1-Bromo-3-(tert-butyl)benzene
英文别名 1-bromo-3-tert-butylbenzene;
CAS号 3972-64-3

合成路线:
1.通过2-溴-4-叔丁基苯胺合成1-溴-3-叔丁基苯,收率约74%;


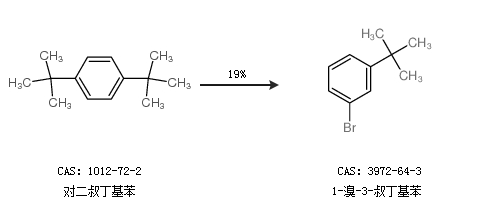
2.通过对二叔丁基苯合成1-溴-3-叔丁基苯,收率约19%;


合成路线仅供参考
回复