基本信息:
中文名称 3-三氟甲基-4-溴苯胺
中文别名 4-溴-3-(三氟甲基)苯胺;5-氨基-2-溴三氟甲苯;2-溴-5-氨基三氟甲苯;4-氨基-1-溴-2-(三氟甲基)苯;
英文名称 4-Bromo-3-(trifluoromethyl)aniline
英文别名 5-Amino-2-bromobenzotrifluoride;5-amino-2-bromobenzotrifluoride;2-BROMO-5-AMINOBENZOTRIFLUORIDE;5-Amino-2-bromobenzotrifluo;3-trifluoromethyl-4-bromoaniline;4-Amino-1-bromo-2-(trifluoromethyl)benzene;4-Bromo-3-(Trifluoromethyl)Aniline;4-bromo-3-trifluoromethyl-aniline;3-Trifluoromethyl-4-bromoanili;5-AMINO-2-BROMOBE;
CAS号 393-36-2
合成路线:
1.通过2-溴-5-硝基三氟甲苯合成3-三氟甲基-4-溴苯胺

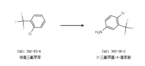
2.通过邻溴三氟甲苯合成3-三氟甲基-4-溴苯胺

合成路线仅供参考