你好,欢迎来到中华试剂网 购试剂 买耗材! [请登录][注册有惊喜]

货号快速下单 | 签到送积分   | 会员中心 | 客服热线:400-021-2765

5-甲基-2-呋喃甲醇的合成路线有哪些?

提问时间:2021/4/22 12:49:20
5-甲基-2-呋喃甲醇有什么方法可以合成?

1条回复:

匿名
2021/4/22 12:49:20
基本信息:
中文名称 5-甲基-2-呋喃甲醇
中文别名 (5-甲基-2-呋喃基)甲醇;5-甲糠醇;5-甲基呋喃-1-甲醇;
英文名称 (5-Methylfuran-2-yl)methanol
英文别名 5-Methyl-2-furanmethanol;(5-methylfuran-2-yl)methanol;
CAS号 3857-25-8

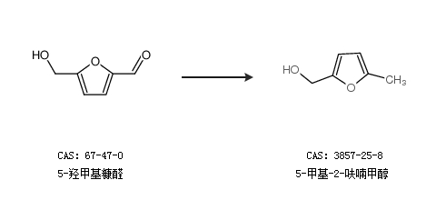
合成路线:
1.通过5-甲基呋喃醛合成5-甲基-2-呋喃甲醇


2.通过5-羟甲基糠醛合成5-甲基-2-呋喃甲醇


合成路线仅供参考
回复