基本信息:
中文名称 2,4,6-三溴-3-(三氟甲基)苯酚
英文名称 2,4,6-Tribromo-3-(trifluoromethyl)phenol
英文别名 2,4,6-tribromo-3-trifluoromethyl-phenol;2,4,6-Tribrom-3-trifluormethyl-phenol;
CAS号 384-87-2
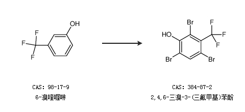
合成路线:
1.通过3-(三氟甲基)苯硼酸合成2,4,6-三溴-3-(三氟甲基)苯酚,收率约75%;

2.通过6-溴喹喔啉合成2,4,6-三溴-3-(三氟甲基)苯酚

合成路线仅供参考