基本信息:
中文名称 2-硝基-9-芴酮
中文别名 2-硝基芴酮;
英文名称 2-nitrofluoren-9-one
英文别名 9H-FLUOREN-9-ONE,2-NITRO;2-Nitrofluorene-9-one;2-nitro-9-ketofluorene;2-Nitrofluorenone;2-Nitro-9-fluorenone;2-Nitro-9H-fluoren-9-one;2-nitro-9H-fluoren-9-one;9-Oxo-2-nitrofluorene;
CAS号 3096-52-4
合成路线:
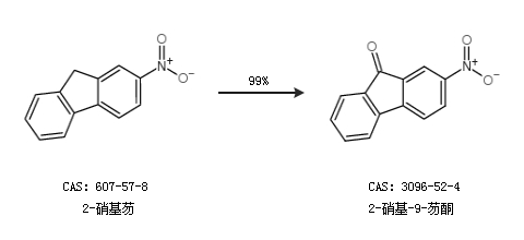
1.通过2-硝基芴合成2-硝基-9-芴酮,收率约99%;

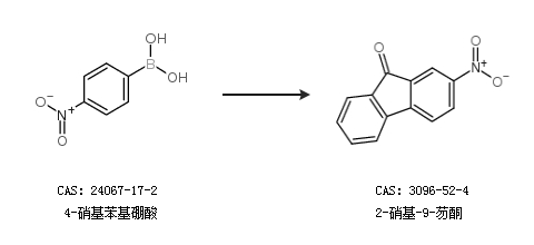
2.通过4-硝基苯基硼酸合成2-硝基-9-芴酮

合成路线仅供参考