基本信息:
中文名称 三环乙基氯化锡
中文别名 氯化三环己基锡;三环己基氯化锡;
英文名称 chloro(tricyclohexyl)stannane
英文别名 Stannane,chlorotricyclohexyl;Tin,chlorotricyclohexyl;Chlorotricyclohexylstannane;Chlorotricyclohexyltin;
CAS号 3091-32-5
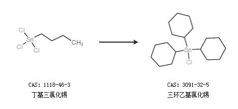
合成路线:
1.通过三甲基氯硅烷和三环锡合成三环乙基氯化锡,收率约72%;

2.通过丁基三氯化锡合成三环乙基氯化锡

合成路线仅供参考