你好,欢迎来到中华试剂网 购试剂 买耗材! [请登录][注册有惊喜]

货号快速下单 | 签到送积分   | 会员中心 | 客服热线:400-021-2765

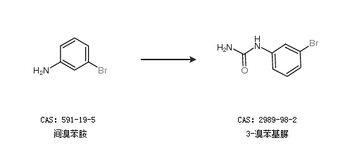
3-溴苯基脲的合成路线有哪些?

提问时间:2021/4/22 12:49:19
3-溴苯基脲有什么方法可以合成?

1条回复:

匿名
2021/4/22 12:49:19
基本信息:
中文名称 3-溴苯基脲
中文别名 3-溴苯脲;
英文名称 (3-bromophenyl)urea
英文别名 3-BROMOPHENYLUREA;N-<3-Brom-phenyl>-harnstoff;N-meta-bromophenyl urea;
CAS号 2989-98-2

合成路线:
1.通过氰酸钠和间溴苯胺合成3-溴苯基脲,收率约76%;


2.通过间溴苯胺合成3-溴苯基脲


合成路线仅供参考
回复