你好,欢迎来到中华试剂网 购试剂 买耗材! [请登录][注册有惊喜]

货号快速下单 | 签到送积分   | 会员中心 | 客服热线:400-021-2765

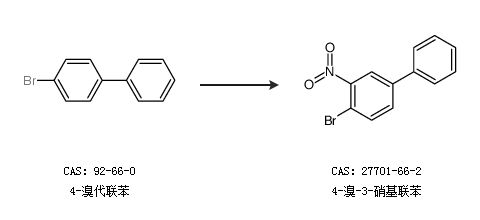
4-溴-3-硝基联苯的合成路线有哪些?

提问时间:2021/4/22 12:49:19
4-溴-3-硝基联苯有什么方法可以合成?

1条回复:

匿名
2021/4/22 12:49:19
基本信息:
中文名称 4-溴-3-硝基联苯
英文名称 1-bromo-2-nitro-4-phenylbenzene
英文别名 4-Brom-3-nitro-biphenyl;4-bromo-3-nitro-biphenyl;NVBGNJFLYDTGTN-UHFFFAOYSA;
CAS号 27701-66-2

合成路线:
1.通过3-硝基-4-双苯胺合成4-溴-3-硝基联苯


2.通过4-溴代联苯合成4-溴-3-硝基联苯


合成路线仅供参考
回复