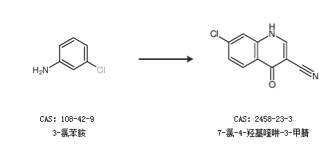
基本信息:
中文名称 7-氯-4-羟基喹啉-3-甲腈
英文名称 7-Chloro-4-oxo-1,4-dihydro-3-quinolinecarbonitrile
英文别名 7-Chlor-4-hydroxy-chinolin-3-carbonitril;7-Chlor-4-hydroxyamino-chinolin-1-oxid;4-Quinolinamine,7-chloro-N-hydroxy-,1-oxide;7-chloro-4-hydroxy-quinoline-3-carbonitrile;7-Chlor-4-hydroxy-3-cyan-chinolin;
CAS号 2458-23-3
合成路线:
1.通过3-氯苯胺合成7-氯-4-羟基喹啉-3-甲腈

合成路线仅供参考