基本信息:
中文名称 2-叔丁基苯咪唑
中文别名 2-叔丁基苯并咪唑;2-叔丁基-1H-苯并咪唑;2-叔丁基-1H-苯并[d]咪唑;
英文名称 2-tert-butyl-1H-benzimidazole
英文别名 2-tert-butyl-1H-benzoimidazole;2-tert-Butyl-1H-benzo[d]imidazole;BENZIMIDAZOLE,2-tert-BUTYL;2-tert-Butylbenzimidazole;2-t-butyl-1H-benzimidazole;
CAS号 24425-13-6
合成路线:
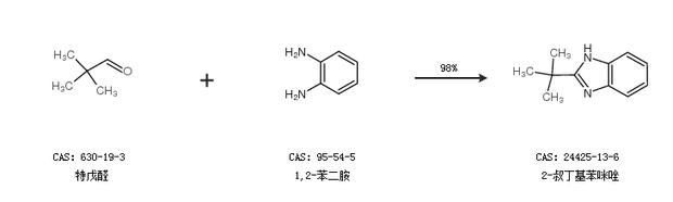
1.通过特戊醛和1,2-苯二胺合成2-叔丁基苯咪唑,收率约98%;

2.通过1,2-二碘苯和2,2-二甲基丙脒合成2-叔丁基苯咪唑,收率约63%;

合成路线仅供参考