基本信息:
中文名称 3-(4-氨基苯基)丙酸
中文别名 4-氨基氢化肉桂酸;
英文名称 3-(4-aminophenyl)propanoic acid
英文别名 4-Aminohydrocinnamic Acid;4-aminobenzenepropanoic acid;Benzenepropanoic acid,4-amino;3-(4-Aminophenyl)propionic Acid;para-aminophenylpropionic acid;4-AMINOHYDROCINNAMIC ACID;
CAS号 2393-17-1
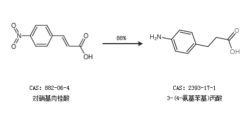
合成路线:
1.通过3-(4-硝基苯基)丙酸合成3-(4-氨基苯基)丙酸,收率约78%;

2.通过对硝基肉桂酸合成3-(4-氨基苯基)丙酸,收率约88%;

合成路线仅供参考