基本信息:
中文名称 4-氯-7-(3-氯-丙氧基)-6-甲氧基-喹啉-3-甲腈
中文别名 4-氯-7-(3-氯丙氧基)-3-氰基-6-甲氧基喹啉;
英文名称 4-Chloro-7-(3-chloropropoxy)-6-methoxyquinoline-3-carbonitrile
英文别名 QC-1110;3-Quinolinecarbonitrile,4-chloro-7-(3-chloropropoxy)-6-methoxy;7-(3-chloro-propoxy)-4-chloro-6-methoxy-quinoline-3-carbonitrile;4-chloro-3-cyano-6-methoxy-7-(3-chloropropoxy)quinoline;4-chloro-7-[3-chloropropoxy]-3-cyano-6-methoxyquinoline;4-CHLORO-7-(3-CHLORO-PROPOXY)-6-METHOXY-QUINOLINE-3-CARBONITRILE;
CAS号 214470-68-5
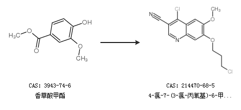
合成路线:
1.通过1-溴-3-氯丙烷和4-氯-7-羟基-6-甲氧基喹啉-3-甲腈合成4-氯-7-(3-氯-丙氧基)-6-甲氧基-喹啉-3-甲腈

2.通过香草酸甲酯合成4-氯-7-(3-氯-丙氧基)-6-甲氧基-喹啉-3-甲腈

合成路线仅供参考