基本信息:
中文名称 N-EPSILON-甲苯磺酰-L-赖氨酸
中文别名 Nε-p-Tosyl-L-lysine;N-ε-甲苯磺酰基-L-赖氨酸;
英文名称 H-LYS(TOS)-OH
英文别名 NE-P-TOSYL-L-LYSINE;N-E-TOSYL-L-LYSINE;N~6~-[(4-methylphenyl)sulfonyl]lysine;N6-Tosyl-L-lysine;Nepsilon-Tosyl-L-lysine;
CAS号 2130-76-9
合成路线:
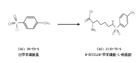
1.通过对甲苯磺酰氯合成N-EPSILON-甲苯磺酰-L-赖氨酸

合成路线仅供参考