你好,欢迎来到中华试剂网 购试剂 买耗材! [请登录][注册有惊喜]

货号快速下单 | 签到送积分   | 会员中心 | 客服热线:400-021-2765

4-苯乙基吡啶的合成路线有哪些?

提问时间:2021/4/22 12:49:18
4-苯乙基吡啶有什么方法可以合成?

1条回复:

匿名
2021/4/22 12:49:18
基本信息:
中文名称 4-苯乙基吡啶
英文名称 4-(2-phenylethyl)pyridine
英文别名 4-Phenethylpyridine;4-Phenaethyl-pyridin;4-pyridyl-2-ethylbenzene;
CAS号 2116-64-5

合成路线:
1.通过4-乙烯基吡啶和苯硼酸合成4-苯乙基吡啶,收率约82%;


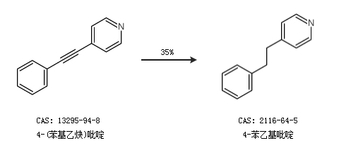
2.通过4-(苯基乙炔)吡啶合成4-苯乙基吡啶,收率约35%;


合成路线仅供参考
回复