基本信息:
中文名称 3-氯-2-萘酸
英文名称 3-chloronaphthalene-2-carboxylic acid
英文别名 2-Naphthalenecarboxylic acid,3-chloro;3-Chlor-naphthoesaeure-(2);3-chloro-2-naphthalenecarboxylic acid;3-chloro-naphthalene-2-carboxylic acid;3-Chlor-[2]naphthoesaeure;3-chloro-[2]naphthoic acid;
CAS号 19411-56-4
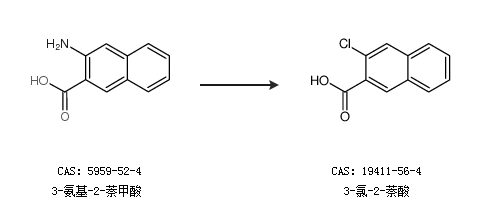
合成路线:
1.通过3-氨基-2-萘甲酸合成3-氯-2-萘酸

2.通过2-羟基-3-萘甲酸合成3-氯-2-萘酸

合成路线仅供参考