你好,欢迎来到中华试剂网 购试剂 买耗材! [请登录][注册有惊喜]

货号快速下单 | 签到送积分   | 会员中心 | 客服热线:400-021-2765

(4-氰基苯氧基)乙酸的合成路线有哪些?

提问时间:2021/4/22 12:49:18
(4-氰基苯氧基)乙酸有什么方法可以合成?

1条回复:

匿名
2021/4/22 12:49:18
基本信息:
中文名称 (4-氰基苯氧基)乙酸
中文别名 (4-氰基苯氧基)-乙酸;
英文名称 2-(4-cyanophenoxy)acetic acid
英文别名 p-cyanophenoxyacetic acid;4-cyanophenoxyacetic acid;
CAS号 1878-82-6

合成路线:
1.通过(4-氰基苯氧基)乙酸乙酯合成(4-氰基苯氧基)乙酸,收率约78%;


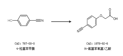
2.通过4-羟基苯甲腈合成(4-氰基苯氧基)乙酸


合成路线仅供参考
回复