你好,欢迎来到中华试剂网 购试剂 买耗材! [请登录][注册有惊喜]

货号快速下单 | 签到送积分   | 会员中心 | 客服热线:400-021-2765

6-氯-2-羟基喹啉的合成路线有哪些?

提问时间:2021/4/22 12:49:18
6-氯-2-羟基喹啉有什么方法可以合成?

1条回复:

匿名
2021/4/22 12:49:18
基本信息:
中文名称 6-氯-2-羟基喹啉
中文别名 6-氯喹啉-2(1H)-酮;
英文名称 6-Chloroquinolin-2(1H)-one
英文别名 6-Chloro-2-hydroxyquinoline;6-Chloro carbostyril;6-chloro-1H-quinolin-2-one;
CAS号 1810-67-9

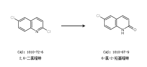
合成路线:
1.通过2,6-二氯喹啉合成6-氯-2-羟基喹啉


2.通过6-氯喹啉合成6-氯-2-羟基喹啉


合成路线仅供参考
回复