基本信息:
中文名称 2,3-二甲基-4-碘苯酚
英文名称 4-Iodo-2,3-dimethylphenol
英文别名 2,3-dimethyl-4-iodophenol;CL9079;6-Jod-3-hydroxy-o-xylol;2,3-Xylenol,4-iodo-(8CI);Phenol,4-iodo-2,3-dimethyl;4-iodo-2,3-dimethyl-phenol;2,3-Dimethyl-4-iod-phenol;4-Jod-2,3-dimethyl-phenol;
CAS号 17938-69-1
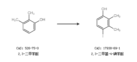
合成路线:
1.通过2,3-二甲苯酚合成2,3-二甲基-4-碘苯酚,收率约79%;

2.通过2,3-二甲苯酚合成2,3-二甲基-4-碘苯酚

合成路线仅供参考