基本信息:
中文名称 7-氯-4-羟基-2-甲基喹啉
英文名称 7-CHLORO-2-METHYL-4(1H)-QUINOLINONE
英文别名 7-Chlor-2-methyl-chinolin-4-ol;2-methyl-4-hydroxy-7-chloroquinoline;7-chloro-2-methyl-4-hydroxyquinoline;7-chloro-2-methyl-quinolin-4-ol;Meseclazone;7-chloro-4-hydroxy-2-methylquinoline;
CAS号 15644-88-9
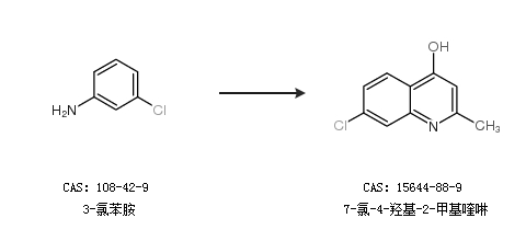
合成路线:
1.通过乙酰乙酸乙酯和3-氯苯胺合成7-氯-4-羟基-2-甲基喹啉,收率约66%;

2.通过3-氯苯胺合成7-氯-4-羟基-2-甲基喹啉

合成路线仅供参考