基本信息:
中文名称 butyl 2-[4-(4-cyano-2-fluorophenoxy)phenoxy]propanoate
英文名称 cyhalofop
英文别名 butyl 2-[4-(4-cyano-2-fluorophenoxy)phenoxy]propanoate;(2R)-2-[4-(4-cyano-2-fluorophenoxy)phenoxy]propanoic acid;Cyhalofop butyl;(R)-2-[4-(4-cyano-2-fluorophenoxy)phenoxy]propionic acid;Cyhalofop;Cyhalofop acid;Cyhalofop butyl ester;cyhalofob-butyl;
CAS号 122008-78-0
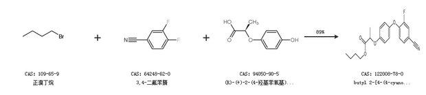
合成路线:
1.通过正溴丁烷、3,4-二氟苯腈和(R)-(+)-2-(4-羟基苯氧基)丙酸合成butyl 2-[4-(4-cyano-2-fluorophenoxy)phenoxy]propanoate,收率约89%;

2.通过正溴丁烷和3,4-二氟苯腈合成butyl 2-[4-(4-cyano-2-fluorophenoxy)phenoxy]propanoate,收率约96%;

合成路线仅供参考