基本信息:
中文名称 5-溴-3,3-二甲基吲哚啉-2-酮
英文名称 5-bromo-3,3-dimethyl-1H-indol-2-one
英文别名 5-bromo-1,3-dihydro-3,3-dimethyl-2H-indole-2-one;5-bromo-3,3-dimethyl-1,3-dihydroindolin-2-one;5-bromo-3,3-dimethylindolin-2-one;3,3-Dimethyl-5-bromo-indol-2-one;5-bromo-3,3-dimethyl-2,3-dihydro-1H-indol-2-one;5-bromo-1,3-dihydro-3,3-dimethyl-2H-indol-2-one;5-bromo-3,3-dimethyl-1,3-dihydro-2H-indol-2-one;2H-Indol-2-one,5-bromo-1,3-dihydro-3,3-dimethyl;5-bromo-3,3-dimethyl-1,3-dihydro-indol-2-one;
CAS号 120902-45-6
合成路线:
1.通过1,2-二氢-3,3-二甲基-2-氧代-3H-吲哚合成5-溴-3,3-二甲基吲哚啉-2-酮,收率约92%;

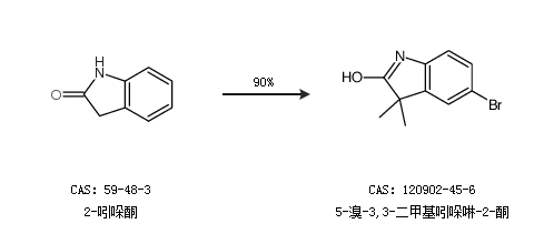
2.通过2-吲哚酮合成5-溴-3,3-二甲基吲哚啉-2-酮,收率约90%;

合成路线仅供参考