基本信息:
中文名称 4-丁基苯磺酰胺
中文别名 4-正丁基苯磺胺;
英文名称 4-butylbenzenesulfonamide
英文别名 4-Butyl-benzolsulfonsaeure-amid;4-Butylbenzenesulphonamide;P-butylbenzenesulfonamide;4-butyl-benzenesulfonic acid amide;4-butylbenzene-1-sulfonamide;
CAS号 1135-00-8
合成路线:
1.通过丁苯合成4-丁基苯磺酰胺

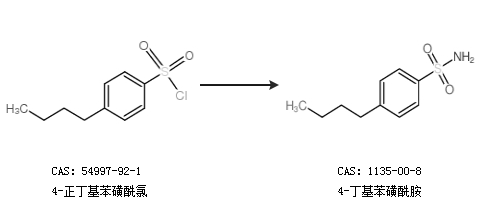
2.通过4-正丁基苯磺酰氯合成4-丁基苯磺酰胺

合成路线仅供参考