你好,欢迎来到中华试剂网 购试剂 买耗材! [请登录][注册有惊喜]

货号快速下单 | 签到送积分   | 会员中心 | 客服热线:400-021-2765

6-氟-2-甲基喹啉的合成路线有哪些?

提问时间:2021/4/22 12:49:16
6-氟-2-甲基喹啉有什么方法可以合成?

1条回复:

匿名
2021/4/22 12:49:16
基本信息:
中文名称 6-氟-2-甲基喹啉
英文名称 6-Fluoroquinaldine
英文别名 6-Fluoro-2-methylquinoline;6-fluoro-2-methylquinoline;
CAS号 1128-61-6

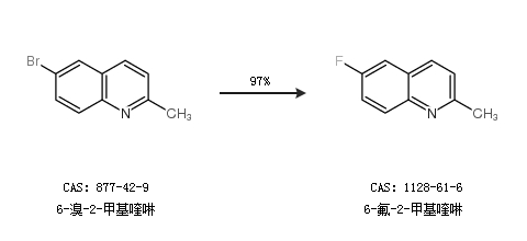
合成路线:
1.通过6-溴-2-甲基喹啉合成6-氟-2-甲基喹啉,收率约97%;


2.通过乙醛和4-氟苯胺合成6-氟-2-甲基喹啉,收率约40%;


合成路线仅供参考
回复