你好,欢迎来到中华试剂网 购试剂 买耗材! [请登录][注册有惊喜]

货号快速下单 | 签到送积分   | 会员中心 | 客服热线:400-021-2765

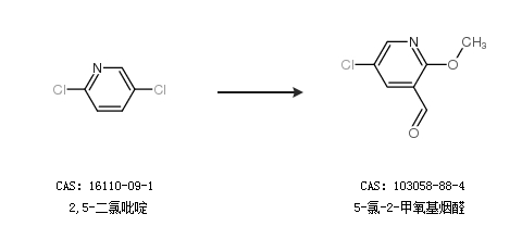
5-氯-2-甲氧基烟醛的合成路线有哪些?

提问时间:2021/4/22 12:49:16
5-氯-2-甲氧基烟醛有什么方法可以合成?

1条回复:

匿名
2021/4/22 12:49:16
基本信息:
中文名称 5-氯-2-甲氧基烟醛
英文名称 5-Chloro-2-methoxynicotinaldehyde
英文别名 5-chloro-2-methoxypyridine-3-carbaldehyde;
CAS号 103058-88-4

合成路线:
1.通过2-甲氧基-3-溴-5-氯吡啶合成5-氯-2-甲氧基烟醛


2.通过2,5-二氯吡啶合成5-氯-2-甲氧基烟醛


合成路线仅供参考
回复