你好,欢迎来到中华试剂网 购试剂 买耗材! [请登录][注册有惊喜]

货号快速下单 | 签到送积分   | 会员中心 | 客服热线:400-021-2765

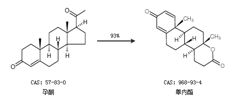
睾内酯的合成路线有哪些?

提问时间:2021/4/22 10:11:53
睾内酯有什么方法可以合成?

1条回复:

匿名
2021/4/22 10:11:53
基本信息:
中文名称 睾内酯
中文别名 睾内酪;
英文名称 testolactone
英文别名 testolacton;testololactone;Testolactone;fludestrin;17a-oxa-D-homo-1,4-androstadien-3,17-dione;sq9538;teslak;teolit;teslac;
CAS号 968-93-4

合成路线:
1.通过孕酮合成睾内酯,收率约93%;


2.通过睾酮合成睾内酯,收率约98%;


合成路线仅供参考
回复