你好,欢迎来到中华试剂网 购试剂 买耗材! [请登录][注册有惊喜]

货号快速下单 | 签到送积分   | 会员中心 | 客服热线:400-021-2765

2,5-二氨基甲苯的合成路线有哪些?

提问时间:2021/4/22 10:11:53
2,5-二氨基甲苯有什么方法可以合成?

1条回复:

匿名
2021/4/22 10:11:53
基本信息:
中文名称 2,5-二氨基甲苯
中文别名 2,5-甲苯二胺;2-甲基-1,4-苯二胺;2-甲基对苯二胺;
英文名称 2-methyl-1,4-phenylenediamine
英文别名 2,5-Diaminotoluene;2-Methylbenzene-1,4-diamine;
CAS号 95-70-5

合成路线:
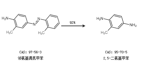
1.通过邻氨基偶氮甲苯合成2,5-二氨基甲苯,收率约92%;


2.通过邻氨基偶氮甲苯合成2,5-二氨基甲苯,收率约92%;


合成路线仅供参考
回复