基本信息:
中文名称 (9ci)-2-(3-甲基丁基)-1H-苯并咪唑
英文名称 2-(3-methylbutyl)-1H-benzimidazole
英文别名 UNII-T7353ON35U;2-Isopentyl-benzimidazol;2-(3-methyl-butyl)-1H-benzoimidazole;1H-Benzimidazole,2-(3-methylbutyl);2-isopentyl-1H-benzo[d]imidazole;
CAS号 946-18-9
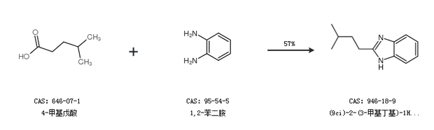
合成路线:
1.通过4-甲基戊酸和1,2-苯二胺合成(9ci)-2-(3-甲基丁基)-1H-苯并咪唑,收率约57%;

合成路线仅供参考